Investicioni ugovor o formiranju zajedničke firme iza kog su stali Vlada Srbije i kompanija Atlantic Incubation Partners LLC, koja je u vlasništvu Džareda Kušnera, zeta američkog predsednika Donalda Trampa, samo je jedan u nizu dokumenata, koji se odnose na kompleks Generalštaba. Ipak, u njemu su sadržane ključne odredbe o srpsko-američkom partnerstvu, rušenju kulturnog dobra od nacionalnog značaja, zakupu zemljišta bez naknade, potencijalnoj odšteti ukoliko dođe do raskida ugovora i potraživanjima Kušnerove firme koja mogu da idu i do 50 miliona evra.

Radar je već objavio ključne detalje iz više ugovora o Generalštabu, nakon čega se oglasio jedan od aktera i ove afere, ministar finansija Srbije Siniša Mali kako bi Kušnerov projekat predstavio u boljem svetlu – kao razvojni i projekat obnove.
„Kada je reč o ovoj lokaciji, važno je istaći da mi ne prodajemo zemlju, mi je dajemo u zakup na 99 godina, uz zadržavanje svih prava Republike Srbije na korišćenje zemljišta i ostvarivanje prihoda“, objavio je ministar finansija na svom Fejsbuk profilu.
Istina je, međutim, da Vučićeva vlast, čiji je važan šraf i Siniša Mali, niti prodaje zemlju, niti je daje u zakup, već je praktično poklanja. Kako piše u Ugovoru o zakupu, koji će Radar objaviti narednih dana, zemljište se formalno daje u zakup na 99 godina, ali se isto tako navodi da je reč o davanju u zakupa – bez naknade. U tom dokumentu, u Preambuli, potpisnici se pozivaju na Sporazum o saradnji između Vlade Srbije i i Vlade Ujedinjenih Arapskih Emirata, koji predviđa davanje u zakup zemljišta bez naknade, a to je navedeno i u Zaključku Vlade.
U jednoj od tačaka navodi se da firma u većinskom vlasništvu Džareda Kušnera ima pravo da pravo zakupa pretvori u pravo svojine na parceli čim upotrebna dozvola za novoizgrađene objekte postane pravosnažna
U jednoj od tačaka navodi se da Kušnerova firma ima pravo pretvaranja prava zakupa u pravo svojine na parceli kada upotrebna dozvola za novoizgrađene objekte postane pravosnažna.
Osnovne odredbe partnerstva Vučićeve vlasti sa Trampovim zetom sadržane su Investicionom ugovoru, kojeg objavljujemo u celosti sa nekoliko priloga. Tim dokumentom je predviđeno osnivanje posebne zajedničke kompanije u kojoj će Atlantic Incubation Partners imati udeo od 77,5 odsto, a Srbija 22,5 procenata.
U preambuli Investicionog ugovora se navodi da se ugovorne strane obavezuju da u Srbiji osnuju društvo sa ograničenom odgovornošću sa ukupnim osnivačkim kapitalom od 10.000 evra, iskazanih u dinarima. Od tog iznosa država je u obavezi da uplati 2.250 evra, a ostatak strateški partner iz Amerike.

Država Srbija se potpisivanjem Ugovora obavezala da u zakup bez naknade da dve katastarske parcele 804/2 i 969/1 u opštini Savski venac, u strogom centru Beograda, na period od 99 godina, kao i da obezbedi da pravo zakupa novoosnovane firme nad zemljištem bude upisano u katastar bez ikakvih tereta.
U daljem tekstu je pobrojano i šta sve država mora da uradi pre nego što investitor iz SAD pristupi parcelama na kojima se sada nalazi kompleks Generalštaba. Navodi se ukupno 13 prethodnih uslova, a ukoliko ih ne ispuni u roku od dve godine od momenta zaključenja ugovora, a to je maj 2026, Kušnerova firma može po svom nahođenju da raskine ugovor i naplati odštetu. A ona neće biti mala, jer obuhvata sve troškove koje je američka firma imala „vezano za sticanje udela i raskid ugovora nakon osnivanja društva i milion evra“.
Ukoliko država u roku od dve godine od momenta zaključenja ugovora, odnosno do maja 2026. ne ispuni neki od 13 prethodnih uslova, taksativno nabrojanih u dokumentu koji Radar objavljuje, Kušnerova firma može po svom nahođenju da raskine ugovor i naplati odštetu, a ona neće biti mala
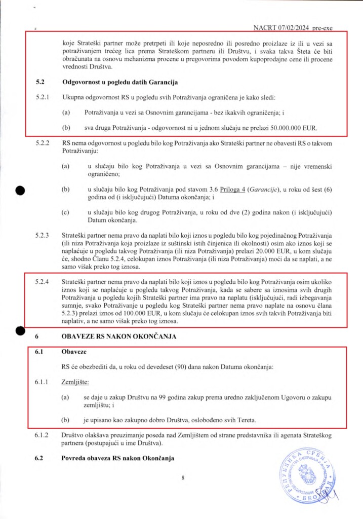
Jednom odredbom Investicionog ugovora predviđeno je da ukupna odgovornost države Srbije u pogledu bilo kojih potraživanja strateškog partner ne može da pređe 50 miliona evra. Prevedeno na jezik koji svi razumeju to znači da bi poreske obveznike ta odredba mogla da košta 50 miliona evra.
U nastavku Radar objavljuje integralnu verziju Investicionog ugovora i pripadajućih priloga, gde svaki čitalac može da se uveri koje su sve garancije predstavnici Vučićeve vlasti u ime države dali kompaniji Trampovog zeta.
























